×
标题
摘要
内容
联系网站
资料下载
会员中心
首 页
购买会员
手机端
蜜蜂文库
蜜蜂文库
>>
新逻辑
>>
新逻辑-答案
>>
1086、答案
1086、答案
来源:
|
作者:
佚名
|
发布时间:
2023-12-20
|
12
次浏览
|
🔊
点击朗读正文
❚❚
▶
|
分享到:
1086、答案
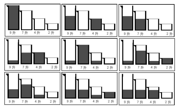
倒8次即可解决问题。其中一种解法如下图所示。
标题
摘要
内容