×
标题
摘要
内容
联系网站
资料下载
会员中心
首 页
购买会员
手机端
蜜蜂文库
蜜蜂文库
>>
新逻辑
>>
新逻辑-答案
>>
1197、答案
1197、答案
来源:
|
作者:
佚名
|
发布时间:
2023-12-20
|
29
次浏览
|
🔊
点击朗读正文
❚❚
▶
|
分享到:
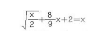
1197、答案
这里x=蜂群中的蜜蜂数。
整理式子为:
(x-72)(2x-9)=0
很明显x不等于4.5(假设2x-9=0得出的结果),所以x一定是72,那么整个蜂群一共有72只蜜蜂。
标题
摘要
内容